CHT3029-QEG - DC-31GHz 4 bit Digital Attenuator
Amplitude Control (dB)
15
Insertion Loss (dB)
5
Attenuation error (dB)
+/-0.5
Control voltage (V)
0/3.3 or 5
Number of Bits
4
P-1dB IN (dBm)
20
RF Bandwidth (GHz) Max
31
RF Bandwidth (GHz) Min
DC
Market
6-18GHz Chipset
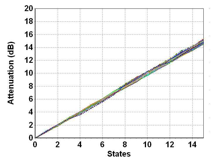
The CHT3029-QEG is a very wide band digital attenuator which integrates 4 bits with a LSB of 1dB and provides a dynamic range of 15dB from DC to 31GHz.
It is designed for a wide range of applications, from military to commercial communication systems.
The circuit is manufactured with a pHEMT process, 0.25µm gate length, via holes through the substrate, air bridges and electron beam gate lithography.
It is supplied in RoHS compliant SMD package.
Our latest Products
Get a glimpse of our latest product releases.